Rat IgA (Immunoglobulin A) ELISA Kit
Rat IgA (Immunoglobulin A) ELISA Kit
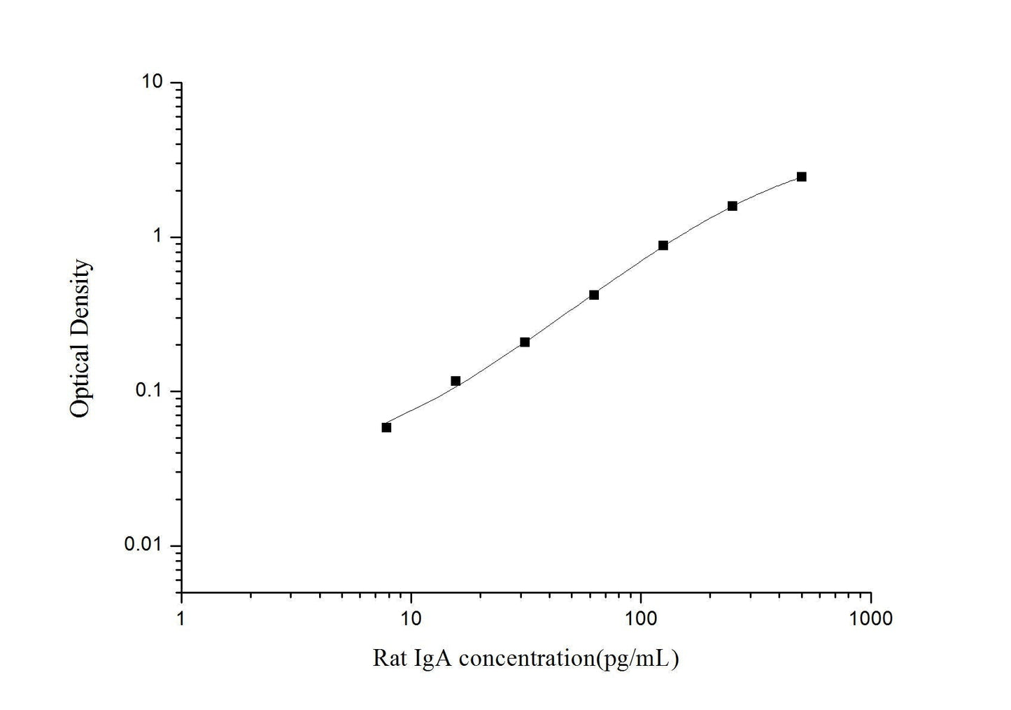
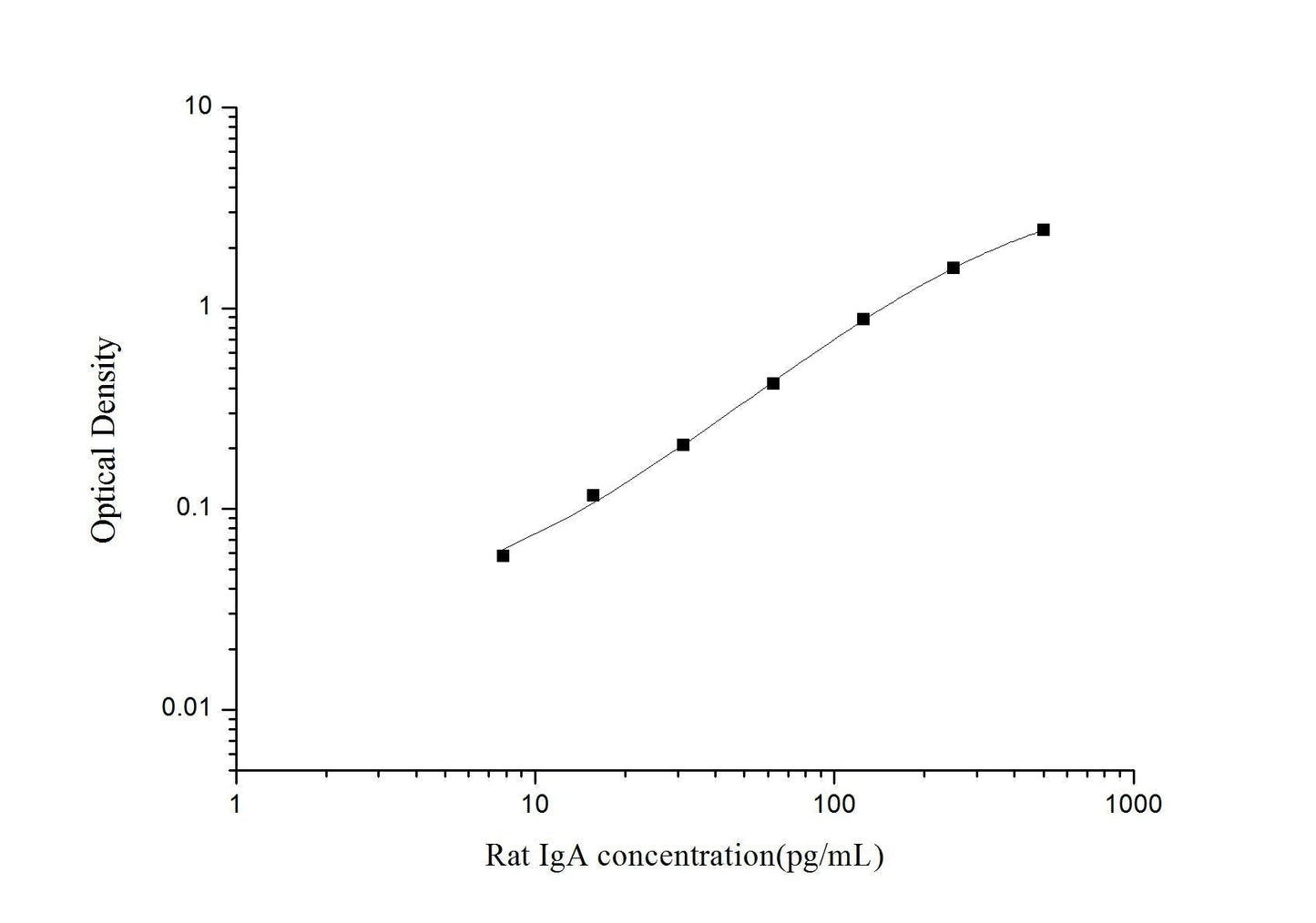
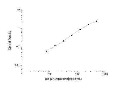
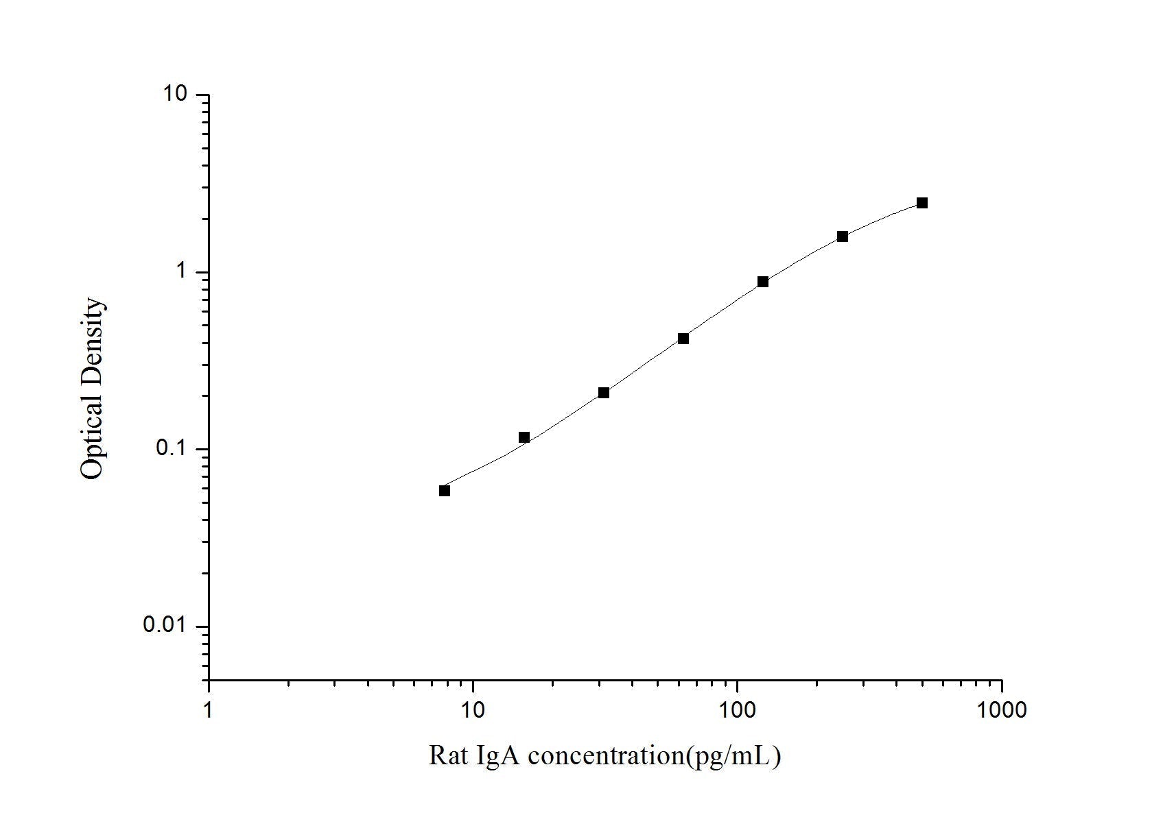
The Rat IgA (Immunoglobulin A) ELISA kit uses the Sandwich-ELISA principle. The micro ELISA plate provided in this kit has been pre-coated with an antibody specific to Rat IgA. Standards or samples are added to the micro ELISA plate wells and combined with the specific antibody. Then a biotinylated detection antibody specific for Rat IgA and Avidin-Horseradish Peroxidase (HRP) conjugate are added successively to each micro plate well and incubated. Free components are washed away. The substrate solution is added to each well. Only those wells that contain Rat IgA, biotinylated detection antibody and Avidin-HRP conjugate will appear blue in color. The enzyme-substrate reaction is terminated by the addition of stop solution and the color turns yellow. The optical density (OD) is measured spectrophotometrically at a wavelength of 450 nm ± 2 nm. The OD value is proportional to the concentration of Rat IgA. You can calculate the concentration of Rat IgA in the samples by comparing the OD of the samples to the standard curve.
Couldn't load pickup availability
Product Details
